2021. 11. 29. 17:07ㆍETC/Algorithm
전형적인 Dijkstra Algorithm 문제 - 최단 거리 (데이크스트라, 다익스트라)
문제 설명
N개의 마을로 이루어진 나라가 있습니다. 이 나라의 각 마을에는 1부터 N까지의 번호가 각각 하나씩 부여되어 있습니다. 각 마을은 양방향으로 통행할 수 있는 도로로 연결되어 있는데, 서로 다른 마을 간에 이동할 때는 이 도로를 지나야 합니다. 도로를 지날 때 걸리는 시간은 도로별로 다릅니다. 현재 1번 마을에 있는 음식점에서 각 마을로 음식 배달을 하려고 합니다. 각 마을로부터 음식 주문을 받으려고 하는데, N개의 마을 중에서 K 시간 이하로 배달이 가능한 마을에서만 주문을 받으려고 합니다. 다음은 N = 5, K = 3인 경우의 예시입니다.

위 그림에서 1번 마을에 있는 음식점은 [1, 2, 4, 5] 번 마을까지는 3 이하의 시간에 배달할 수 있습니다. 그러나 3번 마을까지는 3시간 이내로 배달할 수 있는 경로가 없으므로 3번 마을에서는 주문을 받지 않습니다. 따라서 1번 마을에 있는 음식점이 배달 주문을 받을 수 있는 마을은 4개가 됩니다.
마을의 개수 N, 각 마을을 연결하는 도로의 정보 road, 음식 배달이 가능한 시간 K가 매개변수로 주어질 때, 음식 주문을 받을 수 있는 마을의 개수를 return 하도록 solution 함수를 완성해주세요.
제한사항
- 마을의 개수 N은 1 이상 50 이하의 자연수입니다.
- road의 길이(도로 정보의 개수)는 1 이상 2,000 이하입니다.
- road의 각 원소는 마을을 연결하고 있는 각 도로의 정보를 나타냅니다.
- road는 길이가 3인 배열이며, 순서대로 (a, b, c)를 나타냅니다.
- a, b(1 ≤ a, b ≤ N, a != b)는 도로가 연결하는 두 마을의 번호이며, c(1 ≤ c ≤ 10,000, c는 자연수)는 도로를 지나는데 걸리는 시간입니다.
- 두 마을 a, b를 연결하는 도로는 여러 개가 있을 수 있습니다.
- 한 도로의 정보가 여러 번 중복해서 주어지지 않습니다.
- K는 음식 배달이 가능한 시간을 나타내며, 1 이상 500,000 이하입니다.
- 임의의 두 마을간에 항상 이동 가능한 경로가 존재합니다.
- 1번 마을에 있는 음식점이 K 이하의 시간에 배달이 가능한 마을의 개수를 return 하면 됩니다.
입출력 예
| N | road | K | result |
| 5 | [[1,2,1],[2,3,3],[5,2,2],[1,4,2],[5,3,1],[5,4,2]] | 3 | 4 |
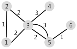
| 6 | [[1,2,1],[1,3,2],[2,3,2],[3,4,3],[3,5,2],[3,5,3],[5,6,1]] | 4 | 4 |
입출력 예 #1
문제의 예시와 같습니다.
입출력 예 #2
주어진 마을과 도로의 모양은 아래 그림과 같습니다.

1번 마을에서 배달에 4시간 이하가 걸리는 마을은 [1, 2, 3, 5] 4개이므로 4를 return 합니다.
문제 해결
C++
#include <queue>
#include <vector>
#define INF 2e9
#define START 1
using namespace std;
int solution(int N, vector<vector<int>> road, int K) {
vector<pair<int,int>> adj[N+1];
priority_queue<pair<int,int>> pq;
vector<int> dij;
int answer = 0;
dij.resize(N+1, INF);
dij[START] = 0;
for(vector<int> ro : road) {
adj[ro[0]].push_back({ro[1], ro[2]});
adj[ro[1]].push_back({ro[0], ro[2]});
}
pq.push({0, START});
while(!pq.empty()) {
int dist = -pq.top().first;
int town = pq.top().second;
pq.pop();
for(int i = 0; i < adj[town].size(); i++) {
int next = adj[town][i].first;
int cost = dist + adj[town][i].second;
if (dij[next] > cost) {
dij[next] = cost;
pq.push({-dij[next], next});
}
}
}
for (int i = 1; i <= N; i++)
if (dij[i] <= K) answer++;
return answer;
}
Python
import heapq
INF = int(2e9)
START = 1
def solution(N, road, K):
answer = 0
dist = [INF] * (N+1)
graph = [[] for i in range(N+1)]
for r in road :
graph[r[0]].append((r[1], r[2]))
graph[r[1]].append((r[0], r[2]))
dist[START] = 0
pq = []
heapq.heappush(pq, (0, START))
while pq :
distance, now = heapq.heappop(pq)
for town in graph[now]:
cost = distance + town[1]
if dist[town[0]] > cost:
dist[town[0]] = cost
heapq.heappush(pq, (cost, town[0]))
for i in range(0, N+1):
if dist[i] <= K:
answer += 1
return answer
'ETC > Algorithm' 카테고리의 다른 글
| Programmers, 지형 편집 (0) | 2021.11.30 |
|---|---|
| Programmers, 기지국 설치 (0) | 2021.11.29 |
| Programmers, 소수만들기 (0) | 2021.11.27 |
| [프로그래머스] N 으로 표현 (0) | 2021.07.17 |
| [프로그래머스] 다단계 칫솔 판매 (2) | 2021.07.16 |
Backend Software Engineer
𝐒𝐮𝐧 · 𝙂𝙮𝙚𝙤𝙣𝙜𝙨𝙪𝙣 𝙋𝙖𝙧𝙠